AIPMT | 2014KinematicsHard
Question
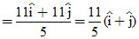
A particle is moving such that its position coordinates (x, y) are (2m, 3m) at time t = 0, (6m, 7m) at time t = 2 s and (13m, 14m) at time t = 5 s
Average velocity vector
from t = 0 to t = 5 s is
Average velocity vector
Options
A.
B.
C.
D.
More Kinematics Questions
A particle has an initial velocity of (3î + 4ĵ) m/s and a constant acceleration of (4î - 3ĵ) m/s2. I...A person drops from a building of height 20 m. same instant the front end of a tuck passes below the building moving wit...Given graph shows the variation of acceleration (a) with time (t). Which of the following graph will represent the varia...Which of the following velocity-time graphs shows a realistic situation for a body in motion ?...The second′s hand of a watch has length 6 cm. Speed of end point and magnitude of difference of velocities at two ...