Laws of MotionHard
Question
Figure shows a wedge of mass 2 kg resting on a frictionless floor. A block of mass 1 kg is kept on the wedge and the wedge is given an acceleration of 5 m/sec2 towards right. Then :


Options
A.block will remain stationary w.r.t. wedge
B. the block will have an acceleration of 1 m/sec2 w.r.t. the wedge
C.normal reaction on the block is 11 N
D.net force acting on the wedge is 2 N
Solution

FBD of block is shown w.r.t. wedge and FBD of wedge is shown w.r.t. ground. FP is pseudo force.
mg sin 37 − ma cos 37 = mab
⇒ ab = g sin 37 − a cos 37
⇒ N = 1 × 10 × 4/5 + 1 × 5 ∉ 3/5
N = 11 N.
Net force acting on block w.r.t. ground

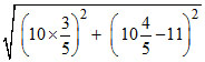
F =
=
=
F = √ N
Create a free account to view solution
View Solution FreeMore Laws of Motion Questions
Block of mass 4 kg is to be kept at rest against a smooth vertical wall by applying a force F as shown in figure. The fo...Gravel is dropped into a conveyer belt at a rate of 0.5 kg/s. The extra force required in newton to keep the belt moving...In the arrangement show in figure, pulley is smooth and mass less and all the strings are light. let F1 be the force exe...A block is placed on a rough horizontal surface and a horizontal force F is applied to it as shown in figure. The force ...A block is kept on a frictionless inclined surface with angle of inclination α. The incline is given an acceleratio...