Atomic StructureHard
Question
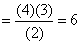
Hydrogen atom is excited from ground state toanother state with principal quantum numberequal to 4. Then the number of spectral lines in the emission spectra will be :-
Options
A.6
B.2
C.3
D.5
More Atomic Structure Questions
If the velocity of light were (2/3)rd of the present value, then the energy released in atomic explosion will be reduced...In a material medium, when a positron meets an the electrons both particles annihilateleading to the emission of two gam...A nuceus emits one α particle and two β- particles. The resulting nucleus is...Binding energy per nucleon versus mass number curve for nuclei is shown in figure. W, X, Y and Z are four nuclei indicat...Ratio of longest wavelengths corresponding to Lyman and Balmer series in hydrogen spectrum is:-...
