Current Electricity and Electrical InstrumentHard
Question
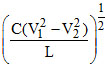
A condenser of capacity C is charged to a potential difference of V1. The plates of the condenser are then connected to an ideal inductor of inductance L. The current through the inductor when the potential difference across the condenser reduces to V2 is :-
Options
A.
B.
C.
D.
Solution
Decresaing in potential energy of capacitor = increasing in potential energy of inductor.
⇒
CV12 -
CV22 =
LI2
⇒ I =
⇒
⇒ I =
Create a free account to view solution
View Solution FreeTopic: Current Electricity and Electrical Instrument·Practice all Current Electricity and Electrical Instrument questions
More Current Electricity and Electrical Instrument Questions
Let P(6, 3) be a point on the hyperbola . If the normal at the point P intersects the x-axis at (9, 0), then the eccentr...In figure the rolling axle, of length l is pushed along horizontal rails at a constant speed v. A resistor R is connecte...A potentiometer wire has resistance 40Ω and its length is 10m. It is connected by a resistance of 760Ω in seri...A battery of emf E0 = 12 V is connected across a 4m long uniform wire having resistance . The cells of small emfs e1 = 2...The potential difference between the points A and B in the following circuit shown in the figure : -...