Current Electricity and Electrical InstrumentHard
Question
Same length of two identical wires are first connected is series and them in parallel then the amount of heat produced in both the conditions are in the ratio:
Options
A.1 : 4
B.4 : 1
C.3 : 1
D.1 : 2
Solution


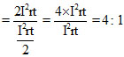
Let the resistance be r for each wire.
Heat generated = I2(2r) = 2I2r
where I is current through both of them. when they are connect in parallel each
will have current =
.Heat generateed =
rt × 2 =
.Ratio of heat generated in two case
Create a free account to view solution
View Solution FreeTopic: Current Electricity and Electrical Instrument·Practice all Current Electricity and Electrical Instrument questions
More Current Electricity and Electrical Instrument Questions
In the given circuit, with steady current, the potential difference across the capacitor must be...A meter bridge with two resistances $R_{1}$ and $R_{2}$ as shown in figure was balanced (null point) at 40 cm from the p...N sources of current with different emf′s are connected as shown in figure. The emf′s of the sources are pro...The equivalent resistance of a group of resistances is R. If another resistance is connected in parallel to the group, i...In the circuit shown in figure reading of voltmeter is V1 when only S1 is closed, reading of voltmeter is V2 when only S...