Current Electricity and Electrical InstrumentHard
Question
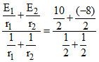
The emf and internal resistance of three batteries as shown in figure is :


Options
A.2 V, 1Ω
B.2 V, 1Ω
C.2 V, 1.5Ω
D.4 V, 2Ω
Solution


E =
r =

Create a free account to view solution
View Solution FreeTopic: Current Electricity and Electrical Instrument·Practice all Current Electricity and Electrical Instrument questions
More Current Electricity and Electrical Instrument Questions
Three copper worse have their lengths in the ratio 5: 3: 1 and their masses are in the ratio 1: 3: 5. Their electrical r...A potentiometer wire has length 4 m and resistance 8Ω The resistance that must be connected in series with the wire...In an ammeter 0.2% of main current passes through the galvanometer. If resistance of galvanometer is G, the resistance o...Two voltameters one of copper and another of silver, are joined in parallel. When a total charge q flows through the vol...The current in a conductor varies with time t as I = 2t + 3t2 amp. where I is ampere and t in second. Electric charge fl...