Atomic StructureHard
Question
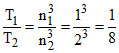
In Bohr′s model of the hydrogen atom the ratio between the period of revolution of an electron in the orbit of n = 1 to the period of the revolution of the electron in the orbit n = 2 is -
Options
A.1 : 2
B.2 : 1
C.1 : 4
D.1 : 8
More Atomic Structure Questions
The energy of an electron in the first Bohr orbit of H-atom is -13.6eV. The possible energy value (s) of the excited sta...The mass of a negative meson is 208 time the mass of electron. If the e/m ratio of α-particle is x unit, then the e/m ra...From a hydrogen discharge tube, only three photons are picked up. The energies of these three photons were 10.2, 12.1 an...The orbital angular momentum of an electron in 2s orbital is :...The magnitude of the orbital angular momentum of an electron is given by $L = \sqrt{5}h/\pi$. How many orbitals of this ...