Nuclear Physics and RadioactivityHard
Question
In hydrogen and hydrogen like atoms, the ratio of difference of energies E2n - En and E2n En varies with its atomic number z and n as -
Options
A.n2 / z2
B.z4 / n4
C.z / n
D.(n2 / z2)
Solution
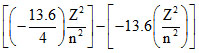
En = -
(Z2)
E2n = -
Z2 = - 
E2n - En =
E2n - En =
+ 13.6 
E2n - En =
= (10.2) 
(E2n) - (En) =

E2n = -
E2n - En =
E2n - En =
E2n - En =
(E2n) - (En) =
Create a free account to view solution
View Solution FreeMore Nuclear Physics and Radioactivity Questions
The half - life of the radioactive radon is 3.8 days. The time , at the end of which 1 / 20th of the radon sample will r...In a Coolidge tube experiment, The Wavelength of the continuous X - ray spectrum is equal to 66.3 pm. Then...When a photon of life collides with a metal surface number of electrons, (if any) coming out is...Characteristic X - rays are not obtained in the spectrum of H - atom because -...A nuclear fusion reaction is given below : 1H2 + 1H2 → 2He3 + n + 3.2 MeVHow much energy will be generated when 2 ...