Photoelectric EffectHard
Question
The highest energy state, that unexcited hydrogen atoms can reach when they are bombareded with 12.2 eV electron, is
Options
A.n = 1
B.n = 2
C.n = 3
D.n = 4
Solution
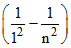
ᐃE = 13.6
= 12.2
13.6 − 12.2 =
n2 =
⇒ n = 3
13.6 − 12.2 =
n2 =
Create a free account to view solution
View Solution FreeMore Photoelectric Effect Questions
If potential difference applied to an X-ray tube is V volt, then minimum wavelength of X-rays produced is about (in ) :...The anode voltage of a photocell is kept fixed. The wavelength λ of the light falling on the cathode is gradually c...If vacuum tube is operated at 6.4 kV, what is the wavelength of X-ray produced :-...For X-ray diffraction, order of wave length is...If the frequency of Kα X-ray emitted from element with atomic number 31 is f, then the frequency of Kα X-ray e...