Hard
Question
A missile is fired for maximum range with an initial velocity of 20 m/s, If g = 10 ms-2, the range of the missile is
Options
A.40 m
B.50 m
C.60 m
D.20 m
Solution
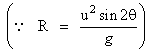
Here u = 20 m/s, g = 10 ms-2
For maximum range, angle of projection is θ = 45o
∴
= 40 m.
For maximum range, angle of projection is θ = 45o
∴
= 40 m.Create a free account to view solution
View Solution FreeMore Physics Questions
In 0.1 s, a particle goes from point A to point B, moving in a semicirle (see figure). The magnitude of the average velo...A body is moving with velocity 30 m/s towards east. After 10 second its velocity becomes 40 m/s towards north. The avera...A projectile can have the same range R for two angles of projection. If T1 and T2 be the time of flights in the two case...A bullet is fired horizontally from a rifle at a distant target. Ignoring the effect of air resistance, which of the fol...If R and H represent the horizontal range and the maximum height achieved by a projectile then which of the relation exi...