ThermodynamicsHard
Question
The density of a substance at 0oC is 10g / cc and at 100oC, its density is 9.7g/cc. The coefficient of linear expansion of the substance is
Options
A.10-1
B.10-2
C.10-3
D.10-4
Solution
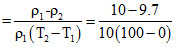
The coefficient of volume expansion,

= 3 × 10-4
Coefficient of linear exapansion
α =
= 10-4
Coefficient of linear exapansion
α =
Create a free account to view solution
View Solution FreeMore Thermodynamics Questions
A mass of a gas at 0o C is expanded adiabatically so that its volume becomes 4 times the original the temperature of gas...100 mole of an ideal monoatomic gas undergoes the following thermodynamic process as shown in the figure (P - V or Press...A Carnot engine operating between temperatures T1 and T2 has efficiency 1. 6When T2 is lowered by 62K, its efficiency in...The pressure in a car tyre is four times the atmospheric pressure and its temperature is 300 K. If it bursts all of a su...A system is taken from its initial state (P1, V1) to a state (P2, V2). If the heat given to the system is ᐃQ and t...