JEE Main | 2014Math miscellaneousHard
Question
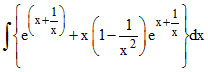
The integral
is equal to
is equal toOptions
A.

B.

C.

D.

Solution
I = 

As ∫ (xf ′(x) + f (x))dx = xf (x) + c
As ∫ (xf ′(x) + f (x))dx = xf (x) + c
Create a free account to view solution
View Solution FreeMore Math miscellaneous Questions
If one root of the equation ax2 + bx + c = 0 is square of the other, then the value of b3 + ac2 + a2c is :...If (1 - x + x2)n = a0 + a1x + a2x2 + ....... + a2nx2n, then a0 + a2 + a4 +........+ a2n is equal to:-...Let f(x) be differentiable on the interval (0, ∞) such that f(1) = 1, and for each x > 0. Then f(x) is...The enthalpy of fusion of water is 1.435 kcal/mol. The molar entropy change for the melting of ice at 0oC is...If f(x) = min {1, x2, x3}, then...