DeterminantHard
Question
Let f(x) =
, then
Options
A.fn (1) is indepedent of a
B.fn (1) is indepedent of n
C.fn(1) depends on a and n
D.y = a(x - fn (1)) represents a straight line through the origin
Solution
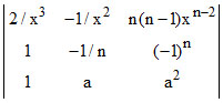
f(x) = 
f′(x) =
f′(x) =
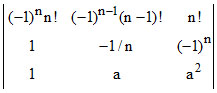
fn(x) =
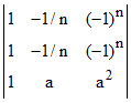
fn(1) =
= (-1)n n!
= 0
and y = a (x - fn(1))
y = ax
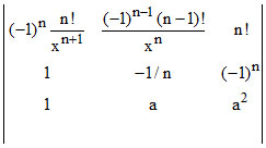
f′(x) =
f′(x) =
fn(x) =
fn(1) =
= (-1)n n!
and y = a (x - fn(1))
y = ax
Create a free account to view solution
View Solution Free