ElectrostaticsHard
Question
A charged particle of charge q and mass m is released from rest in a uniform electric field E. Neglecting the effect of gravity, the kinetic energy of the charged particle after time ′t′ seconds is
Options
A.
B.
C.
D.
Solution
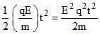
Force on charge q in electric field E ⇒ F = qE ⇒ a = 
∴ Distance travelled ⇒ x =
at2 = 
Also, kinetic energy K.E = Work done by electric field E is WE = qE.
∴ Distance travelled ⇒ x =
Also, kinetic energy K.E = Work done by electric field E is WE = qE.
Create a free account to view solution
View Solution FreeMore Electrostatics Questions
The net charge given to a solid insulating sphere:...A charge Q is enclosed by a Gassian spherical surface of radius R. If the radius is doubled, then the outward electric f...A insulating cylindrical rod of diameter d and length l(l >> d) has a uniform surface charge density such that the elect...Two charges are placed as shown in fig. Where should be a third charge be placed so that it remains in rest condition : ...A charged particle q1 is at position (2, - 1, 3). The electrostatic force on another charged particle q2 at (0, 0, 0) is...