Complex NumbersHard
Question
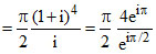
If z =
(1 + i)4
, then
equals
Options
A.1
B.π
C.3π
D.4
Solution
z =
(1 + i)4 

= 2πeiπ/2
|z| = 2π amp (z) =

|z| = 2π amp (z) =
Create a free account to view solution
View Solution FreeMore Complex Numbers Questions
Let ω be a complex cube root of unity with ω ≠ 1. fair die is thrown three times. If r1, r2 and r3 are t...If (1 + i) (1 + 2i) ( 1 + 3i) .... (1 + ni) = α + iβ then 2 . 5. 10 .... (1 + n2) =...The inequality |z - 4| < | z - 2| represents :...Number of values of x (real or complex) simultaneously satisfying the system of equations 1 + z + z2 + z3 + ....... + z1...equals -...