Complex NumbersHard
Question
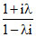
If z (≠ - 1) is a complex number such that
is purely imaginary, then |z| is equal to
Options
A.1
B.2
C.3
D.5
More Complex Numbers Questions
Let z and ω are two non-zero complex numbers such that | z | = | ω | and arg z + arg ω = π, then z e...If z1 = - 3 + 5 i; z2 = - 5 - 3 i and z is a complex number lying on the line segment joining z1 & z2, then arg(z) can b...For positive integers n1, n2 the value of expression (1+ i)n1 + (1 + i3)n1 + (1 + i5)n2 + (1 + i7)n2, here i = √- ...If z is a complex number of unit modulus and argument θ, then arg equals...Points z1 & z2 are adjacent vertices of a regular octagon. The vertex z3 adjacent to z2 (z3 ≠ z1) is represented b...