DifferentiationHard

Question

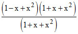
If = ax + b, then the value of ′a′ and ′b′ are respectively

Options

A.2 and 1
B.-2 and 1
C.2 and - 1
D.None of these

Solution

= ax + b          where  y = = (1 - x + x2)
⇒  (1 - x + x2) = ax + b
⇒ 2x - 1 = ax + b
⇒ a = 2, b = - 1

Create a free account to view solution

View Solution Free
Topic: Differentiation·Practice all Differentiation questions

More Differentiation Questions