Continuity and DifferentiabilityHard
Question
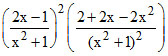
If y = f
and f′(x) = sinx2, then
is equal to-
Options
A.sin 
B.sin 
C.sin 
D.None of these
Solution
y = f
and f′(x) = sinx2
= ?
y′ = f′
= f′
= f′
f′(x) = sinx2
= sin
y′ = f′
= f′
= f′
= sin
Create a free account to view solution
View Solution FreeMore Continuity and Differentiability Questions
Let f(x) = . At points the function is/are not differentiable in the interval [-3, 1]...Let ′f′ be a continuous function on R. If f (1/4n) = (sin en)e-n2 + then f(0) is -...If f (x) = | x + 1 | ( | x | + | x - 1 | ) then at what points the function is/are not differentiable at in the interval...Let f(x) = |x - a| φ(x), where φ is a continuous function and φ(a) ≠ 0. Then -...Let f(x) = sin x ; g(x) = x2 & h(x) = loge x & F(x) = h[g(f(x))] then is equal to -...