Continuity and DifferentiabilityHard
Question
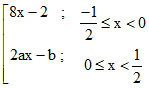
Let f(x) =
where [x] denotes the greatest integer function.
Then -
Then -
Options
A.f (x) is continuous and differentiable in
for all a, provided b = 2
B.f (x) is continuous and differentiable in
if f(a) = 4 , b = 2
C.f (x) is continuous and differentiable in
if a = 4 and b = 0
D.for no choice of a and b, f (x) is differentiable in 
Solution
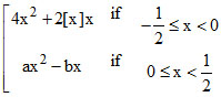
f′(x) = 
Now at x = 0
8(0) - 2 = 2(a) (0) - b ⇒ b = 2 and a ∈ R
Also f(x) is continuous in
Now at x = 0
8(0) - 2 = 2(a) (0) - b ⇒ b = 2 and a ∈ R
Also f(x) is continuous in
Create a free account to view solution
View Solution FreeMore Continuity and Differentiability Questions
Which of the following could be the sketch graph of y = (x lnx) ?...If y = f(x) is an odd differentiable function defined on (-∞, ∞) such tha f′(3) = -2, then f′(-3...Given f(x) = where { } & [ ] denotes the fractional part and the integral part functions respectively, then which of the...If y is a function of x then = 0. If x is a function of y then the equation be comes -...If y = x - x2, then the derivative of y2 w.r.t. x2 is-...