LimitsHard
Question
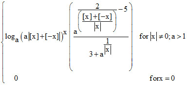
Given f(x) = 
where [.] represents the integral part function, then:
where [.] represents the integral part function, then:
Options
A.f is continuous but not differentiable at x = 0
B.f is continuous & differentiable at x = 0
C.the differentiability of ′f′ at x = 0 depends on the value of a
D.f is continuous & differentiable at x = 0 and for a = e only.