Home
>
Math
>
Limits
Limits
Hard
Question
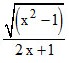
The value of
is-
Options
A.
1
B.
0
C.
−1
D.
1/2
Solution
-
Create a free account to view solution
View Solution Free
Topic:
Limits
·
Practice all Limits questions
More Limits Questions
has the value equal to -...
equals-...
equals-...
If f(x) = a0 + , where ai ′s are real constants, then f(x) is...
If l =(sin - sin √x) and m =[sin - sin √x], where [.] denotes the greatest integer function, then :...