LimitsHard

Question

If [x] denotes greatest integer less than or equal to x, then ([13 x] + [23 x]+.....+[n3 x]) is equal to

Options

A.x/2
B.x/3
C.x/6
D.x/4

Solution

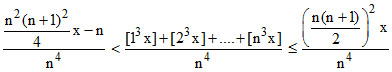
([13 x] + [23 x]+.....+[n3 x])
13 x -1 < [13 x] ≤ 13 x
23 x -1 < [23 x] ≤ 23 x
    .               .          .
    .               .          .
    .               .          .
n3 x - 1 < [n3 x]  n3 x
Adding all these inequilities
(13 + 23 + 33 ...........+ n3) x - n  <  [13x] + [23x] + ...........[n3x]   (13 + 23 + ..........n3)x



∴    

Create a free account to view solution

View Solution Free
Topic: Limits·Practice all Limits questions

More Limits Questions