Home
>
Math
>
Limits
Limits
Hard
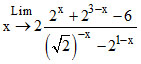
Question
equals-
Options
A.
0
B.
1
C.
8
D.
∞
Solution
-
Create a free account to view solution
View Solution Free
Topic:
Limits
·
Practice all Limits questions
More Limits Questions
is equal to -...
equals-...
If y =, where t = , then the number of points of discontinuities of y = f(x), x ∈ R is...
Let α and β be the distinct roots of ax2 + bx + c = 0 then is equal to -...
If f(x) = , where {.} represents fractional part function, then -...