Home
>
Math
>
Limits
Limits
Hard
Question
is equal to
Options
A.
0
B.
-1
C.
2
D.
1
Solution
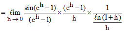
Let x = 2 + h x → 2, h → 0
= 1. 1. 1 = 1
Create a free account to view solution
View Solution Free
Topic:
Limits
·
Practice all Limits questions
More Limits Questions
equals-...
If f(x) = x, then indicate the correct alternative(s):...
sin-1 ((sec x)) is equal to...
when α ∈ Q is equal to...
is equal to...