Home
>
Math
>
Limits
Limits
Hard
Question
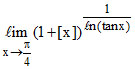
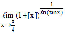
The value of
is equal to (where [ . ] denotes the greatest integer function)
Options
A.
0
B.
1
C.
e
D.
e
-1
Solution
Create a free account to view solution
View Solution Free
Topic:
Limits
·
Practice all Limits questions
More Limits Questions
is equal to-...
The value of is-...
Which of the following limits does not exists-...
equals-...
If [1 + ln(1 + b2)]1/x = 2b sin2 θ, b > 0 and θ ε (- π, π], then the value of θ is...