FunctionHard
Question
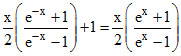
The function f(x) =
+ 1 is
Options
A.an odd function
B.an even function
C.neither an odd nor an even function
D.a periodic function
Solution
f(x) = 
f(- x) = -
= f(x) even function
f(- x) = -
Create a free account to view solution
View Solution FreeMore Function Questions
Domain of f(x) = is -...Function f : R, f(x) = tan x is...The image of the interval R under the mapping f: R → R given by f(x) = cot-1 (x2 - 4x + 3) is...Let f : (4, 6) → (6,8) be a function defined by f(x) = x + . (where [.] denotes the greatest integer function) , t...Let A be a set containing 10 distinct elements, then the total number of distinct functions from A to A is -...