FunctionHard
Question
In the following functions defined from [-1, 1] to [-1, 1] , then functions which are not bijective are
Options
A.sin (sin-1x)
B.2/π sin-1(sin x)
C.(sgn x) ln ex
D.x3 sgn x
Solution
f : [-1, 1] → [-1, 1]
(A) f(x) = sin (sin-1 x) = x, x ∈ [-1, 1]
Bijective function y ∈ [-1, 1]
(B) f(x) =
sin-1 (sin x) =
, x ∈ [-1, 1]
Not bijective y ∈
(C) f(x) (sgn x) (ln ex) =

Not bijective
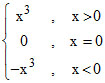
(D) f(x) = x3 sgn x =

Not bijective
(A) f(x) = sin (sin-1 x) = x, x ∈ [-1, 1]
Bijective function y ∈ [-1, 1]
(B) f(x) =
Not bijective y ∈
(C) f(x) (sgn x) (ln ex) =

Not bijective
(D) f(x) = x3 sgn x =

Not bijective
Create a free account to view solution
View Solution FreeMore Function Questions
If f : [1, ∞) → [2, ∞) is given by ƒ(x) = x +1/x then f−1(x) equals -...Let f(x) = a x2 + b x + c, where a, b, c are rational and f : Z → Z, where Z is the set of integers. Then a + b is...The mapping f : R → R given by f(x) = x3 + ax2 + bx + c is a bijection if...The period of the function f(x) = sin + cos(sin x) equal-...Let f(x) = , 0 ≤ x ≤1 and g(x) = 4x (1 - x), 0 ≤ x ≤ 1, then...