Home
>
Math
>
Definite Integration
Definite Integration
Hard
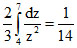
Question
is equal to
Options
A.
1/7
B.
1/10
C.
1/14
D.
none of these
Solution
Put z = 3√x + 4 ⇒ I =
Create a free account to view solution
View Solution Free
Topic:
Definite Integration
·
Practice all Definite Integration questions
More Definite Integration Questions
For f(x) = x4 + | x |, let I1 = f(cos)dx and I2 = f(sin x) dx then has the value equal to -...
is equal to :...
dx equals-...
If f(x) = A sin + B, f′ = √2 and f(x) dx = , then the constant A and B are -...
The value of dr is -...