Home
>
Math
>
Definite Integration
Definite Integration
Hard
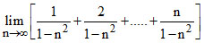
Question
equals-
Options
A.
0
B.
− 1/ 2
C.
1/ 2
D.
None of these
Solution
-
Create a free account to view solution
View Solution Free
Topic:
Definite Integration
·
Practice all Definite Integration questions
More Definite Integration Questions
If f is a continuous periodic function with period T, then dx...
If f (a − x) = f (x) and (x)dx = p, then (x) dx is equal to -...
sin mx sin nx dx equals (m,n ∈ Z, m ≠ n)...
is equal to-...
If I1 =dx and I2 =f(cos2x) dx, then...