Definite IntegrationHard
Question
The area enclosed between the curves y = loge(x + e), x = loge (1/y) and the x-axis is
Options
A.2
B.1
C.4
D.none of these
Solution
y = loge(x + e), at y = 0, x = 1 - e point (1 - e, 0)
ey = x + e ⇒ ey - e = x
x = loge (1/y), at y = e , x = -1
ex = 1 ⇒ y = e-x
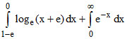
Area =
=
= 
= [(e - e) - (0 - 1)] + [-e-∞ + 1] = 1 + 1 = 2
ey = x + e ⇒ ey - e = x
x = loge (1/y), at y = e , x = -1
ex = 1 ⇒ y = e-x
Area =
=
= [(e - e) - (0 - 1)] + [-e-∞ + 1] = 1 + 1 = 2
Create a free account to view solution
View Solution Free