Trigonometric EquationHard
Question
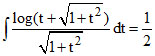
If
(g(t))2 + C, where C is a constant, then g(2) is equal to :
Options
A.1/√5 log (2+√5)
B.1/2 log (2+√5)
C.2 log (2+√5)
D.log (2+√5)
Solution
I = 
put u = log(t +
)
du =
dt
I = ∫u du =
+ c
g(t) = log(t +
)
g(2) = log(2 + √5)
put u = log(t +
du =
I = ∫u du =
g(t) = log(t +
g(2) = log(2 + √5)
Create a free account to view solution
View Solution FreeMore Trigonometric Equation Questions
The value of θ satisfying 3cos2 θ − 2√3 sin θ cos θ − 3 sin2 θ = 0 are-...If f(θ) = 5 cos θ + 3 cos + 3, then range of f(θ) is -...Subnormal at any point ′P′ on the curve is same as subnormal at image of ′P′ in y = x on the sam...The general solution of sin x + 3 sin 2x + sin 3x = cos x + 3 cos 2x + cos 3x then in the interval 0 ≤ x ≤ 2...Number of ordered pairs (a, x) satisfying the equation sec2( a + 2) x + a2 - 1 = 0; - π < x < π is -...