Trigonometric EquationHard
Question
Subnormal at any point ′P′ on the curve is same as subnormal at image of ′P′ in y = x on the same curve.
If curve lies in first quadrant and passes through (1,0), then -
If curve lies in first quadrant and passes through (1,0), then -
Options
A.Equation of curve can be x3/2 + y3/2 = 1
B.Tangent of slope 21/3 touches the curve at (41/3,1)
C.Tangent with equal intercepts on axes touches the curve at (41/3, 41/3)
D.If curve also passes through (0,1) then area bounded by the curve & axes is
(sin 2θ)1/3dθ
Solution
|yy′| = 
⇒
⇒
= c
∵ curve passes through (1,0)
(A) curve is x3/2 ± y3/2 = 1
(B) for x3/2 - y3/2 = 1 slope of tangent at point (41/3, 1) is 21/3
(C) (41/3,41/3) does not lie on the curve
(D) curve is x3/2 + y3/2 = 1
A =
(1 + x3/2)2/3 dx
put x3/2 = cos2θ
√x dx = - sin 2θ dθ
⇒ A =
⇒ A =
sin7/3 θ cos1/3 θdθ
A =
cos7/3 θ sin1/3 θdθ
⇒ 2A =
sin1/3 θ cos1/3θ(sin2θ + cos2θ) dθ
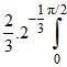
A =
(sin 2θ)1/3dθ
A =
(sin 2θ)1/3 dθ
⇒
⇒
∵ curve passes through (1,0)
(A) curve is x3/2 ± y3/2 = 1
(B) for x3/2 - y3/2 = 1 slope of tangent at point (41/3, 1) is 21/3
(C) (41/3,41/3) does not lie on the curve
(D) curve is x3/2 + y3/2 = 1
A =
put x3/2 = cos2θ
⇒ A =
⇒ A =
A =
⇒ 2A =
A =
A =
Create a free account to view solution
View Solution FreeMore Trigonometric Equation Questions
If tan2 θ - (1 + √3) tan θ + √3 = 0, then the general value of θ is :...Considering the principal values of inverse trigonometric functions, the value of the expression $tan\left( 2\sin^{- 1}\...For 0 cos2nφ, y =sin2nφ, z = cos2n φ sin2, then...If the distance of the point P (1, - 2, 1) from the plane x + 2y - 2z = α, where α > 0, is 5, then the foot of...Differential equation of a curve is given by dx = by where x,y ∈ and curve passes through the point , then -...