Home
>
Math
>
Definite Integration
Definite Integration
Hard
Question
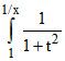
If I
1
=
dt and I
2
dt for x > 0, then-
Options
A.
I
1
= I
2
B.
I
1
> I
2
C.
I
2
> I
1
D.
None of these
Solution
-
Create a free account to view solution
View Solution Free
Topic:
Definite Integration
·
Practice all Definite Integration questions
More Definite Integration Questions
Suppose , f, f′ and f″ are continuous on [0, e] and that f′(e) = f(e) = f(1) = 1 and dx = , then the v...
equal to-...
dx is equal to-...
If I = 2 x dx, then...
, value depends upon:...