Definite IntegrationHard
Question
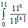
If
dx =
, (where [ ] denotes greatest integer function) then value of k is
Options
A.11
B.101
C.110
D.none of these
Solution
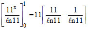
I =
= 
{∵ {x}is periodic with perion 1}
=

=
⇒ k = 110
=
=
Create a free account to view solution
View Solution Free