Definite IntegrationHard
Question
If A =
dx, then
dx is equal to :
Options
A.
+
- A
B.
- A
C.1 +
- A
D.A -
- 
Solution
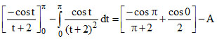
I =
dx
2x = t ⇒ dx =
dt
⇒ I =
⇒ I = 
⇒ I =
2x = t ⇒ dx =
⇒ I =
⇒ I =
Create a free account to view solution
View Solution Free