Home
>
Math
>
Indefinite Integration
Indefinite Integration
Hard
Question
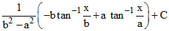
dx is equal to-
Options
A.
B.
C.
D.
None of these
Solution
-
Create a free account to view solution
View Solution Free
Topic:
Indefinite Integration
·
Practice all Indefinite Integration questions
More Indefinite Integration Questions
The value of ∫{1 + 2tan x(tan x + sec x)}1/2 dx is equal to...
dx is equal to-...
equals-...
If x = f″(t) cos t + f′(t) sin t, y = − f″(t) sin t + f′(t) cos t, then dt is equal to-...
The value of dx is-...