Home
>
Math
>
Differentiation
Differentiation
Hard
Question
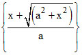
If y = log
, then the value of dy/dx is-
Options
A.
B.
a
C.
D.
x
Solution
-
Create a free account to view solution
View Solution Free
Topic:
Differentiation
·
Practice all Differentiation questions
More Differentiation Questions
If y = tan−1, then dy/dx equals-...
If ƒ(x) = xn, then the value of...
If y = sin−1 + tan−1, then dy/dx equals...
Derivative of sin2 x w.r.t. cos2 x is -...
The functions u = ex sin x; v = ex cos x satisfy the equation...