[DUP-84] Continuity and DifferentiabilityHard
Question
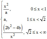
If f(x) =
is continuous in the interval [0, ∞), then values of a and b are respectively-
Options
A.1, −1
B.−1,1 + √2
C.−1,1
D.None of these
Topic: [DUP-84] Continuity and Differentiability·Practice all [DUP-84] Continuity and Differentiability questions
More [DUP-84] Continuity and Differentiability Questions
If f(x) = , then at x = 0, f(x) is...If the derivative of the function- is everywhere continuous, then...The function f(x) = is continuous everywhere then f (π/4) =...If f(x) = , x ≠ π / 4 is every where continuous, then f(π / 4) equals-...If f(x) is continuous and g(x) is discontinuous function, then f(x) + g(x) is-...