[DUP-84] Continuity and DifferentiabilityHard
Question
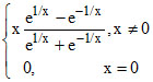
If f(x) =
, then correct statement is-
Options
A.f is continuous at all points except x = 0
B.f is continuous at every point but not differentiable
C.f is differentiable at every point
D.f is differentiable only at the origin
Topic: [DUP-84] Continuity and Differentiability·Practice all [DUP-84] Continuity and Differentiability questions
More [DUP-84] Continuity and Differentiability Questions
If x + 4 | y | = 6 y, then y as a function of x is -...Which of the following functions is every where continuous-...If f(x) = (tan x cot α)1/(x − α) is continuous at x = α, then the value of f (α) is-...Function f(x) = is-...If function f(x) = x − |x − x2|, − 1 ≤ x ≤ 1 then f is-...