[DUP-84] Continuity and DifferentiabilityHard
Question
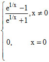
The function f(x) =
,
Options
A.Is continuous at x = 0
B.Is not continuous at x = 0
C.Is not continuous at x = 2
D.None of these
Topic: [DUP-84] Continuity and Differentiability·Practice all [DUP-84] Continuity and Differentiability questions
More [DUP-84] Continuity and Differentiability Questions
If f(x) = [x], where [x] = greatest integer ≤ x, then at x = 1, f is-...If function f(x) = then in the interval [0,π] -...Function f(x) = |x − 1| + |x − 2| is differentiable in [0,3], except at -...The set of points where function ƒ(x) = is differentiable is -...If f(x) = , (x ≠ 0) is continuous at x = 0, then the value of f(0) is-...