Continuity and DifferentiabilityHard
Question
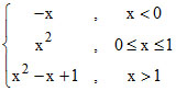
If a function f (x) is defined as f(x) =
, then -
Options
A.f(x) is differentiable at x = 0 and x = 1
B.f(x) is differentiable at x = 0 but not at x = 1
C.f(x) is differentiable at x = 1 but not at x = 0
D.f(x) is not differentiable at x = 0 and x = 1
More Continuity and Differentiability Questions
Let $f(x)$ be a continuous and twice differentiable even function on $\mathbb{R}$. If $f(4) = -4$, $f(-2) = 4$, $f(0) = ...If cos-1 = log a then =...If f(x) = log |2x|, x ≠ 0, then f′(x) is equal to-...If f (x) = is continuous at x = 2, then a is equal to -...If y = and = ax + b, then values of a & b are -...