DifferentiationHard
Question
If y =
, -1 < x < 1 , then (1 - x2)
equals
Options
A.x + y
B.1 + xy
C.1 - xy
D.xy - 2
Solution
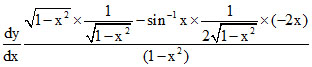
y = 

( 1 - x2)
= 1 +
× x
(1 - x2)
= 1 + xy
( 1 - x2)
(1 - x2)
Create a free account to view solution
View Solution FreeCreate a free account to view solution
View Solution Free