Home
>
Math
>
Limits
Limits
Hard
Question
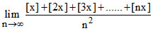
If [x] denotes the greatest integer less than or equal to x, then
equals -
Options
A.
x/2
B.
x/3
C.
x
D.
0
Solution
-
Create a free account to view solution
View Solution Free
Topic:
Limits
·
Practice all Limits questions
More Limits Questions
equals-...
If is non- zero definite, then n must be -...
exists and is non-zero, then the value of n is -...
equals-...
equals-...