LimitsHard
Question
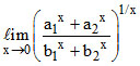
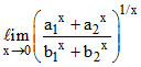
The value of
equals, where a1, a2, b1 and b2 are positive numbers,
Options
A.
B.
C.
D.
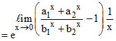
Solution
= e1/2(loge a1 + loge a2 - loge b1 - loge b2)
Create a free account to view solution
View Solution FreeCreate a free account to view solution
View Solution Free