Home
>
Math
>
Limits
Limits
Hard
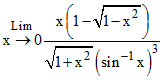
Question
equals-
Options
A.
0
B.
1
C.
1/2
D.
1/4
Solution
-
Create a free account to view solution
View Solution Free
Topic:
Limits
·
Practice all Limits questions
More Limits Questions
The value of (cos ax) cosec2tx is -...
is equal to-...
equals-...
(sin - sin √x) is equal to -...
A point (x, y), where function f(x) = [sin [x]] in (0, 2π) is not continuous, is ([.] denotes greatest integer X...