Home
>
Math
>
Limits
Limits
Hard
Question
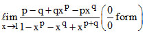
The value of
; p, q ∈ N equals
Options
A.
B.
C.
D.
Solution
=
Create a free account to view solution
View Solution Free
Topic:
Limits
·
Practice all Limits questions
More Limits Questions
Which of the following limits does not exists-...
If f(x) is a continuous function for all real values of x satisfying x2 + (f(x) - 2)x + 2√3 - 3 - √3 f(x) = ...
is equal to-...
If , then the value of x equals...
, where [.] represents greatest integer function, is equal to...