Work, Power and EnergyHard
Question
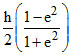
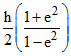
A particle falls from a height ′h′ upon a fixed horizontal plane and rebounds. If ′e′ is the coefficient of restitution the total distance travelled before rebounding has stopped is :-
Options
A.h
B.h
C.
D.
More Work, Power and Energy Questions
A satellite with kinetic energy Ek is revolving round the earth in a circular orbit. How much more kinetic energy should...A 1 Kg ball falls from a height of 25 cm and rebounds upto a height of 9 cm. The co-efficient of restitution is -...Two identical discs, each of negligible mass and radius r(l) are connected by a uniform rod of mass m and length l as sh...Sample pendulums P1 and P2 have lengths l1 = 80 cm and l2 = 100 cm respectively. The bobs are of masses m1 and m2. Initi...If the linear momentum is increased by 5% , the kinetic energy will increase by...