Magnetic field due to currentHard
Question
A nonconducting disc having uniform positive charge Q, is rotating about its axis with uniform angular velocity ω. The magnetic field at the centre of the disc is -


Options
A.directed outward
B.having magnitude
C.directed inwards
D.having magnitude 
Solution
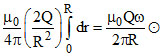
Charge per unit area = 
Charge on elemental ring,
dQ =
2πrdr = 
∴ B at centre =
=

Charge on elemental ring,
dQ =
∴ B at centre =
=

Create a free account to view solution
View Solution FreeMore Magnetic field due to current Questions
In the figure shown a current I1 is established in the long straight wire AB. Another wire CD carrying current I2 is pla...Charge q is uniformly spread on a thin ring of radius R. the ring rotates about its axis with a uniform frequency f Hz. ...A particle of charge -16 × 10-18 C moving with velocity 10 ms-1 along the x-axis enters region where a magnetic fie...Two concentric coils of 10 turns each are situated in the same plane. The radii are 20 cm and 40 cm and they carry respe...A circular conducting loop is connected by a battery according to figure. The length of ABC and ADC is l1 and l2 respect...