Momentum and CollisionHard
Question
The U-tube shown has a uniform cross-section. A liquid is filled in the two arms up to heights h1 and h2, and then the liquid is allowed to move. Neglect viscosity and surface tension. When the levels equalize in the two arms, the liquid will


Options
A.be at rest
B.be moving with an acceleration of g 
C.be moving with a velocity of (h1 - h2)
D.exert a net force to the right on the tube
Solution
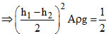
When the levels equalize then the height of the height of the liquid in each arm = 
Transferred length of liquid = h1 -
Transferred mass =
Aρ
Loss in gravitational potential energy
= mgh =
Aρg
Mass of the entire liquid
= (h1 + h2 + h)Aρ
=
(h1 + h2 + h)Aρ
If this liquid moves with a velocity v then its KE
(h1 + h2 + h)Aρv2
(h1 - h2)
Transferred length of liquid = h1 -
Transferred mass =
Loss in gravitational potential energy
= mgh =
Mass of the entire liquid
= (h1 + h2 + h)Aρ
=
If this liquid moves with a velocity v then its KE
Create a free account to view solution
View Solution FreeMore Momentum and Collision Questions
In the given diagram the sphere is released from rest. Just after collision with 5 kg block. It comes to rest. The 5 kg ...A man of mass 80 kg stands on a plank of mass 40 kg. The plank lying on a smooth horizontal floor. Initially both are at...A force F is needed to break a copper wire having radius R. The force needed to break a copper wire of radius 2R will be...One end of uniform wire of length L and of weight W is attached rigidly to a point in the roof and a weight W1 is suspen...A particle of mass 2m is connected by an inextensible string of length 1.2 m to a ring of mass m which is free to slide ...