Chemical Kinetics and Nuclear ChemistryHard
Question
The reaction of NO2 (g) and O3 (g) is first-order in NO2 (g) and O3 (g)
2NO2 (g) + O3 (g) → N2O5 (g) + O2 (g)
The reaction can take place by mechanism :
I : NO2 + O3
NO3 + O2
NO3 + NO2
N2O5
II : O3
O2 + [O]
NO2 + O
NO3
NO3 + NO2
N2O5
Select correct mechanism.
2NO2 (g) + O3 (g) → N2O5 (g) + O2 (g)
The reaction can take place by mechanism :
I : NO2 + O3
NO3 + NO2
II : O3
NO2 + O
NO3 + NO2
Select correct mechanism.
Options
A.I only
B.II only
C.both I and II
D.None of I and II
Solution
For Rxn rate determining step is slowest step
Then in 1st Rxn
Rate = k [NO2] [O3] .....(i)
But 2nd Rxn
O3
O2 + [O] ....(a)
NO2 + O
NO3 ....(b)
NO3 + NO2
N2O5 ....(c)
Then for Rxn (a)
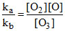
= keq ....(d)
by Rxn (b)
Rate = k [NO2] [O] ....(ii)
put value of [O] from (d) to (ii)
Rate = k
× [NO2]
Rate =
Then in 1st Rxn
Rate = k [NO2] [O3] .....(i)
But 2nd Rxn
O3
NO2 + O
NO3 + NO2
Then for Rxn (a)
by Rxn (b)
Rate = k [NO2] [O] ....(ii)
put value of [O] from (d) to (ii)
Rate = k
Rate =
Create a free account to view solution
View Solution FreeTopic: Chemical Kinetics and Nuclear Chemistry·Practice all Chemical Kinetics and Nuclear Chemistry questions
More Chemical Kinetics and Nuclear Chemistry Questions
With the help of following reactions, arrange metals A,B,D and E in decreasing order of their reactivity :-(i) B + ANO3 ...Atomic number of a radioactive element is 100. It first decays into an element Y which then decays into Z. In both the p...During the kinetic study of the reaction, 2A + B → C + D, following results were obtained Based on the above data ...Aqueous ammonia can be used to separate which of the following pair of ions ?...First order reaction 2N2O(g) → 2N2g + O2(g)has a rate constant of 1.3 × 10-11 S-1 at 270C and 4.5 × 10-1...